煤炭保供穩價政策加碼 關注逢低做多焦化盤麵套利機會
2026-04-16 10:36:57
馮豔成
上周(10月18日~10月22日),黑色金屬板塊各品種價格波動加劇,焦煤、焦炭期價整體呈衝高回落走勢。10月19日,焦炭主力J2201合約價格最高漲至4550元/噸,隨後出現快速下跌行情;10月20日、10月21日連續2天跌停收盤,焦炭價格最低跌至3380元/噸左右,最大跌幅高達25.68%;焦煤主力JM2201合約同樣出現連續2天跌停,價格由3878.5元/噸快速下跌至2781.5元/噸,最大跌幅高達28.28%。除焦煤、焦炭外,動力煤期貨價格跌幅更大,10月20日~10月22日連續3個交易日跌停收盤,最大跌幅高達31.13%。
煤炭相關期貨品種價格集體由強轉弱,源於近期國家發展改革委等有關部門對煤炭打出的保供穩價政策“組合拳”,主要包括:一是組織重點煤炭企業、中國煤炭工業協會、中國電力企業聯合會研究運用《價格法》規定的一切必要手段,依法對煤炭價格實施幹預措施;二是組織煤電油氣運重點企業研究安排人民群眾溫暖過冬各項重點工作;三是國家發展改革委財金司赴鄭州商品交易所調研並召開專題座談會,提出著力加強期貨市場穿透式監管、依法嚴厲查處資本惡意炒作行為並公開曝光等舉措。另外,國家發展改革委已派相關人員帶隊赴河北省秦皇島市、唐山市督導煤炭保供穩價工作以及赴河南煤炭儲配交易中心鶴壁園區調研情況。目前來看,此次政策“組合拳”效果較為明顯,動力煤、焦煤、焦炭期貨價格出現急速大幅下跌,市場恐慌情緒在期貨市場上得到體現,煤炭價格有望重新回歸合理區間內運行。
現貨方麵,焦炭產地現貨價格暫時以穩為主,山西、河北地區焦企計劃提漲,下遊鋼廠也未給出明確回複。在當前保供穩價政策“組合拳”的氛圍下,焦價上漲有一定阻力。近日,焦炭港口貿易價格有所上漲,截至上周五(10月22日),日照港港口準一級冶金焦出庫報價為4250元/噸,環比前一周上漲250元/噸(dun)。基(ji)差(cha)方(fang)麵(mian),由(you)於(yu)此(ci)前(qian)焦(jiao)炭(tan)期(qi)價(jia)以(yi)偏(pian)強(qiang)運(yun)行(xing)為(wei)主(zhu),主(zhu)力(li)合(he)約(yue)基(ji)差(cha)一(yi)度(du)縮(suo)小(xiao)至(zhi)平(ping)水(shui)狀(zhuang)態(tai),但(dan)隨(sui)著(zhe)上(shang)周(zhou)期(qi)價(jia)的(de)快(kuai)速(su)走(zou)弱(ruo),焦(jiao)炭(tan)基(ji)差(cha)再(zai)次(ci)擴(kuo)大(da)至(zhi)900左右。
回到焦炭基本麵上,上周,焦炭供需進一步下滑,總體庫存小幅去化。
具(ju)體(ti)來(lai)看(kan),盈(ying)利(li)方(fang)麵(mian),據(ju)相(xiang)關(guan)機(ji)構(gou)調(tiao)研(yan),上(shang)周(zhou)焦(jiao)炭(tan)現(xian)貨(huo)價(jia)格(ge)持(chi)穩(wen)運(yun)行(xing),但(dan)近(jin)期(qi)焦(jiao)煤(mei)價(jia)格(ge)出(chu)現(xian)上(shang)漲(zhang),再(zai)次(ci)拉(la)升(sheng)了(le)焦(jiao)企(qi)入(ru)爐(lu)煤(mei)成(cheng)本(ben),焦(jiao)企(qi)盈(ying)利(li)再(zai)度(du)下(xia)滑(hua),個(ge)別(bie)采(cai)購(gou)成(cheng)本(ben)較(jiao)高(gao)的(de)焦(jiao)企(qi)已(yi)麵(mian)臨(lin)虧(kui)損(sun),這(zhe)也(ye)是(shi)近(jin)期(qi)焦(jiao)企(qi)重(zhong)新(xin)出(chu)現(xian)提(ti)漲(zhang)情(qing)緒(xu)的(de)直(zhi)接(jie)原(yuan)因(yin)。上(shang)周(zhou),全(quan)國(guo)30家獨立焦企平均噸焦盈利為269元,環比前一周下降53元,較去年同期下降130元。
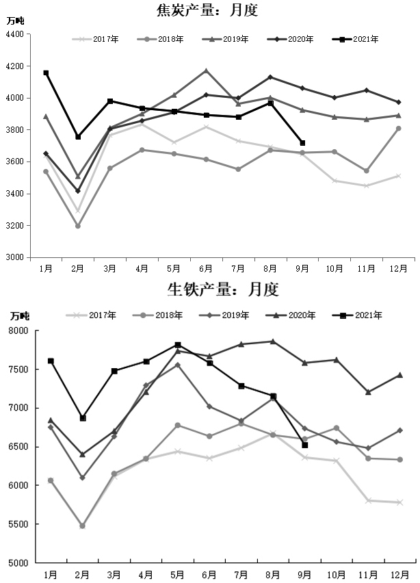
供給方麵,國家統計局數據顯示,9月份,我國焦炭產量為3718.4萬噸,環比下降6.28%,同比下降9.6%。1月~9月份我國焦炭累計產量為35744.7萬噸,累計同比增長1.3%。9月份焦炭產量環比大幅下降,主要原因是山東全省以及山西省部分地區受環保督察、能耗雙控等因素影響,焦化產能利用率持續下滑。10月份以來,山東省環保督察工作結束,但焦化行業仍受“以煤定產”政策製約,產能利用率回升空間有限;山西省部分地區仍有環保督察在持續進行,另外山西省環保廳和工信廳同時發布了重汙染天氣管理措施,其中呂梁市、汾陽市同時受地方環保監管趨嚴影響,也有焦企因自身煤源緊張影響到生產負荷,當地焦企已限產至50%以上,焦炭供應端進一步收緊。數據顯示,上周全樣本獨立焦企剔除淘汰產能利用率為74.18%,環比下降0.2個百分點,同比下降14.68個百分點。
需求方麵,鋼鐵市場在粗鋼產量同比不增及能耗雙控政策的雙重製約下,粗鋼、生鐵產量均有明顯下降。其中粗鋼產量1月~9月份累計同比增幅已收窄至2.0%,若10月~12月份單月產量按照9月份產量的7375.0萬噸計算,全年粗鋼產量約為10.27億噸,較去年全年減少3800萬噸,將順利完成粗鋼年控任務。同時,這也表明鋼廠進一步減產的空間不大,甚至有一定的回升空間。另外,生鐵產量1月~9月份累計同比增長轉負,即已低於去年同期水平。從近期市場反應來看,粗鋼減量措施成效明顯,疊加有關部門糾正“一刀切”停產限產或“運動式”減碳的行為,部分地區限產、限電有所放鬆,鋼廠高爐逐步複產。數據顯示,上周247家鋼廠高爐產能利用率為80.05%,環比減少0.61個百分點,同比減少12.29個百分點;日均鐵水產量為214.58萬噸左右,環比減少1.64萬噸,同比減少31.21萬噸。目前焦炭需求仍處於偏低水平,預計後期隨著限產放鬆有望迎來好轉。
庫存方麵,上周,焦炭總體庫存在連續4周累庫後出現降庫。其中,焦化廠焦炭庫存下降;鋼廠焦炭庫存仍保持低位,暫未有明顯補庫動作。上周數據顯示,焦炭總庫存為981.13萬噸,環比減少21.15噸,同比減少196.37萬噸;全樣本焦化廠焦炭庫存為122.83萬噸,環比減少7.21萬噸,同比增加41.86萬噸;247家鋼廠焦炭庫存為737.2萬噸,環比增加0.46萬噸,同比減少114.83萬噸;4個港口庫存為121.1萬噸,環比減少14.4萬噸,同比減少123.4萬噸。
綜合來看,近期政策連續打出煤炭保供穩價政策“組合拳”,市shi場chang恐kong慌huang情qing緒xu在zai期qi貨huo上shang得de到dao快kuai速su體ti現xian,煤mei價jia下xia行xing帶dai動dong焦jiao價jia走zou弱ruo。從cong基ji本ben麵mian來lai看kan,焦jiao炭tan呈cheng現xian供gong需xu雙shuang弱ruo的de格ge局ju未wei變bian,但dan需xu求qiu有you緩huan慢man回hui升sheng的de跡ji象xiang,疊die加jia部bu分fen地di區qu的de焦jiao企qi仍reng麵mian臨lin煤mei源yuan緊jin缺que而er導dao致zhi成cheng本ben抬tai升sheng的de問wen題ti,刺ci激ji焦jiao企qi提ti漲zhang情qing緒xu漸jian增zeng。短duan期qi內nei焦jiao炭tan期qi貨huo價jia格ge波bo動dong加jia劇ju,單dan邊bian操cao作zuo難nan度du較jiao大da,建jian議yi參can與yu者zhe保bao持chi謹jin慎shen態tai度du,或huo可ke關guan注zhu逢feng低di做zuo多duo焦jiao化hua盤pan麵mian套tao利li機ji會hui,即ji多duo焦jiao炭tan、空焦煤。

《中國冶金報》(2021年10月28日 03版三版)
來源:中國冶金報-中國鋼鐵新聞網
編輯:宋玉錚
相關文檔
版權說明
【1】 凡本網注明"來源:中國冶金報—中國鋼鐵新聞網"的所有作品,版權均屬於中國鋼鐵新聞網。媒體轉載、摘編本網所刊 作品時,需經書麵授權。轉載時需注明來源於《中國冶金報—中國鋼鐵新聞網》及作者姓名。違反上述聲明者,本網將追究其相關法律責任。
【2】 凡本網注明"來源:XXX(非中國鋼鐵新聞網)"的作品,均轉載自其它媒體,轉載目的在於傳遞更多信息,並不代表本網 讚同其觀點,不構成投資建議。
【3】 如果您對新聞發表評論,請遵守國家相關法律、法規,尊重網上道德,並承擔一切因您的行為而直接或間接引起的法律 責任。
【4】 如因作品內容、版權和其它問題需要同本網聯係的。電話:010—010-64411649
【2】 凡本網注明"來源:XXX(非中國鋼鐵新聞網)"的作品,均轉載自其它媒體,轉載目的在於傳遞更多信息,並不代表本網 讚同其觀點,不構成投資建議。
【3】 如果您對新聞發表評論,請遵守國家相關法律、法規,尊重網上道德,並承擔一切因您的行為而直接或間接引起的法律 責任。
【4】 如因作品內容、版權和其它問題需要同本網聯係的。電話:010—010-64411649
地址:北京市朝陽區安貞裏三區26樓 郵編:100029 電話:(010)64442120/(010)64442123 傳真:(010)64411645 電子郵箱:
中國冶金報/中國鋼鐵新聞網法律顧問:大成律師事務所 楊貴生律師 電話: Email:
中國鋼鐵新聞網版權所有,未經書麵授權禁止使用 京ICP備07016269號 京公網安備11010502033228




























