單斜 ZrO2 加入量對 CaO 材料性能的影響
2026-04-17 10:33:41
為了改善電熔CaO 材料的抗熱震性能和抗水化性能,本工作以電熔CaO(5毫米~3毫米、3毫米~1毫米、≤1毫米和≤0.074毫米) 為原料,單斜ZrO2(≤0.074毫米) 為添加劑,熱固性酚醛樹脂為結合劑,經配料、成型、烘幹、 1600攝氏度熱處理3小時後,製備了CaO材料。研究了單斜ZrO2加入量(w)分別為0.5%、10%、15%時對CaO材料的抗熱震性能和顯微結構的影響。結果表明:添加單斜ZrO2可以有效提高 CaO 材料的抗熱震性能;隨著單斜ZrO2加入量的增加,試樣的抗熱震性能提高;綜合考慮材料力學性能和抗熱震性能,單斜ZrO2加入量(w) 為10%時最合適;加入單斜ZrO2可以顯著提高試樣的抗水化性能,添加量為10%(w) 時,試樣的抗水化性能最好。
MgO-Cr2O3質耐火材料由於具有耐高溫、抗渣侵蝕性好、抗熱震性好等優點,被廣泛應用在有色冶金窯爐、 RH 精煉設備及水泥回轉窯燒成帶,但在使用過程中材料中的Cr2O3易形成 Cr6+,造成鉻汙染。因此,無鉻耐火材料如鎂鋁尖晶石材料、鎂鐵尖晶石材料及MgO-CaO係耐火材料逐漸成為重要的替代材料。目前,MgO-CaO係(xi)材(cai)料(liao)除(chu)了(le)可(ke)以(yi)應(ying)用(yong)於(yu)水(shui)泥(ni)窯(yao),也(ye)被(bei)廣(guang)泛(fan)用(yong)於(yu)不(bu)鏽(xiu)鋼(gang)冶(ye)煉(lian),除(chu)了(le)水(shui)化(hua)問(wen)題(ti)外(wai),在(zai)急(ji)冷(leng)急(ji)熱(re)的(de)條(tiao)件(jian)下(xia)工(gong)作(zuo),抗(kang)熱(re)震(zhen)性(xing)能(neng)的(de)優(you)劣(lie)是(shi)評(ping)價(jia)其(qi)使(shi)用(yong)性(xing)能(neng)的(de)重(zhong)要(yao)指(zhi)標(biao),也(ye)是(shi)該(gai)領(ling)域(yu)主(zhu)要(yao)的(de)研(yan)究(jiu)內(nei)容(rong)。鎂(mei)鈣(gai)係(xi)耐(nai)火(huo)材(cai)料(liao)具(ju)有(you)一(yi)係(xi)列(lie)優(you)良(liang)性(xing)能(neng),特(te)別(bie)是(shi)具(ju)有(you)淨(jing)化(hua)鋼(gang)液(ye)功(gong)能(neng),CaO含量高的耐火材料淨化鋼液效果優於CaO含量低的材料。在本工作中采用純度高的電熔CaO為原料,通過引入單斜ZrO2改善CaO材料的顯微結構,從而提高材料的抗熱震性能與抗水化性能。
試驗
原料及試樣製備
試驗采用化學組成(w)為CaO 94.52%、MgO 1.78%、Al2O3 1.34%、SiO2 0.69%、Na2O 0.12%、 Fe2O3 0.08%的電熔 CaO砂( 5毫米 ~ 3毫米、3毫米~1毫米、≤1毫米和≤0.074毫米)為主原料,w(ZrO2)≥98.5%的單斜ZrO2(≤0.074毫米)為添加劑,熱固性酚醛樹脂為結合劑。
試樣的配比如表1所示,首先將骨料倒入攪拌鍋中混合3分鍾,然後加入酚醛樹脂再混合3分鍾,最後加入細粉混合5分鍾。將混合好的物料在液壓機上以150兆帕壓力成型為 25 毫米×25 毫米 × 150 毫米的條狀試樣,36毫米×30毫米的圓柱試樣,並在220攝氏度固化24 小時。固化完成後,將試樣於1600攝氏度保溫3小時,隨爐自然冷卻後置於幹燥器中備用。
性能檢測
分別按 GB/T 5988—2007、GB/T 3001—2007、 GB/T 5072—2008 檢測1600攝氏度燒後試樣的加熱永久線變化率、常溫抗折強度和常溫耐壓強度。采用場發射掃描電鏡SEM 觀察1600攝氏度燒後試樣的表麵形貌與顯微結構,並結合 EDS 對微區成分進行分析。
抗熱震性能測試方法: 將在1600攝氏度保溫 3 小時熱處理後的試樣放入預先加熱至950攝氏度的電爐中加熱,待溫度恒定後保溫30分鍾,然後取出試樣。使用高壓空氣噴吹試樣,將試樣迅速降到室溫,然後再放入爐中加熱。如此循環3次。在熱震前測得試樣的彈性模量為E0,在每次熱震後,依次測出其彈性模量 E1、 E2 和 E3。用熱震前後彈性模量保持率 e 評價抗熱震性,計算公式見(1) :
e =En/E0( n = 1, 2, 3) 。 (1)
抗水化性能測試方法: 稱量水化前試樣質量m1, 將試樣置於恒溫恒濕箱中,在溫度為50攝氏度、相對濕度為90%條件下水化10小時,然後稱量水化後質量m2,則水化質量增加率(d) 計算見公式(2) :
d =(m2 - m1)/m1× 100% 。 (2)
結果與討論
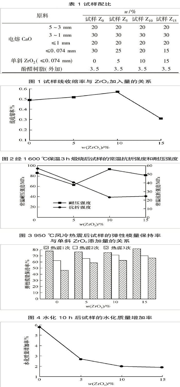
加熱永久線變化率
圖1給出了經1600攝氏度保溫3小時處理後單斜ZrO2加入量與電熔氧化鈣材料線收縮率的變化關係。由圖1可知,隨著單斜 ZrO2 加入量的增加,電熔氧化鈣材料的線收縮率先變大後減小。這是由於加入ZrO2後,ZrO2會與CaO反應生成 CaZrO3。這個反應會使質點活性增強,遷移速度加快,氣孔也會快速遷移到表麵被排除。與此同時,高溫下Zr4 + 會進入 CaO 晶 格,將裏麵的 Ca2 + 置換出來形成固溶體,如反應(3) ,會造成空位缺陷,促進燒結,使材料致密化;繼續增加 ZrO2 的加入量,反應(4) 會產生 7% ~ 8% 的體積膨脹,抵消部分由於燒結產生的體積收縮,使得材料的線收縮率變小。
xZrO2 +( 1-2x)CaO→ Ca1-2xZrxO (3)
CaO + ZrO2 → CaZrO3 (4)
常溫抗折強度與常溫耐壓強度
圖2 給出了經1600攝氏度處理後試樣常溫抗折強度和常溫耐壓強度與ZrO2加入量的關係。由圖2可知:隨著ZrO2加入量的增加,試樣的常溫抗折強度呈下降趨勢。當添加10% (w)的ZrO2時,其常溫耐壓強度最大,為93.5兆帕;繼續增加ZrO2,試樣常溫耐壓強度又有所下降。這是由於生成CaZrO3伴隨有7%~8%的體積膨脹,產生的裂紋數量增加,會導致材料強度下降,但可能對抗熱震性能的改善有利。
抗熱震性
圖3給出了熱震後試樣的彈性模量保持率與單斜 ZrO2 添加量的關係。由圖3可知,在經過 3 次熱震後,添加單斜 ZrO2可以提高電熔氧化鈣材料的抗熱震性能。熱震 1 次後,添加 3 種不同量 ZrO2試樣的彈性模量保持率大致相同;但隨著熱震次數的增 加,尤其是經3次熱震試驗後,可明顯觀察到: 隨著單斜 ZrO2含量的增加,試樣熱震後彈性模量保持率也在升高,這說明氧化鋯對提高材料的抗熱震性是有利的。
在加入單斜 ZrO2後,材料的抗熱震性能會變好。 原因是在加入單斜 ZrO2後, ZrO2會與材料中的氧化鈣反應生成 CaZrO3,這個反應會產生7%~8% 的體積膨脹,產生微裂紋;生成的 CaZrO3 與電熔氧化鈣的熱導率、熱re膨peng脹zhang係xi數shu均jun不bu一yi樣yang,從cong而er產chan生sheng熱re應ying力li,同tong樣yang會hui導dao致zhi微wei裂lie紋wen的de產chan生sheng。這zhe些xie微wei裂lie紋wen可ke以yi吸xi收shou和he分fen散san材cai料liao內nei的de熱re應ying力li,從cong而er提ti高gao材cai料liao的de抗kang熱re震zhen性xing能neng。
抗水化性能
圖4 給出了經50 攝氏度、相對濕度 90%條件下水化 10 小時後試樣的水化質量增加率。由圖4 可知,隨著單斜ZrO2 加入量的增加,試樣的水化質量增加率降低, 在加入5% (w) ZrO2時,試樣的水化質量增加率由 5.8%降到2.68%,即添加 ZrO2對試樣的抗水化性能改善效果較為顯著.主要原因是在加入單斜 ZrO2 後,會與 CaO 反應生成對水無親和力的 CaZrO3,這個反應會減少遊離 CaO 的量,同時這個反應會促進燒結,使得材料的顯氣孔率降低,也會減少 CaO 與水的接觸麵積;而且反應生成的 CaZrO3 主要分布在晶界處,即易於發生水化的位置,進一步阻止了水化進程,從而大大提高了材料的抗水化性能。由圖 4 可以看出,ZrO2 添加量(w) 由10%增加到15% 時,抗水化性能改善效果並不明顯,這主要是 CaZrO3 的生成反應伴隨著 7%~ 8% 的體積膨脹, ZrO2 加入量過多, 會使材料結構變得疏鬆,加大水化麵積,加速試樣的水化。
顯微結構
通過對比試樣熱震前後顯微結構發現未添加ZrO2試樣熱震前 CaO 骨料的微裂紋較少;而熱震後,試樣內產生大量的裂紋,且多為穿晶裂紋。隨著 ZrO2的加入,CaO 骨料內的微裂紋數量增多,而且試樣內的穿晶裂紋減少,這是因為生成的 CaZrO3 阻止了裂紋的擴展,導致裂紋轉向,使得材料強度損失較小;erguliaoyujizhizhijiandeliefengzengda,chanshengdeweiliewenkeyixishoubufenyouyuwendujijubianhuachanshengdereyingli,youliyushiyangrezhenwendingxingnengdetigao。shiyangzhongguliaoneibuqikongjiaoshao, CaZrO3分布在骨料與骨料之間的基質中,有效減少CaO與水的接觸麵積,從而達到提高抗水化性能的目的。
結論
從綜合性能來看, ZrO2加入量為 10%(w) 時最佳。此時氧化鈣材料的線收縮率最大,為0.57%, 常溫耐壓強度為93.5 兆帕。隨著單斜 ZrO2加入量的增加,氧化鈣材料的彈性模量保持率逐漸增加,單斜 ZrO2添加量越多,材料的抗熱震性能越好。加入單斜 ZrO2後,試樣的抗水化性能變好, 且加入量為10%( w) 時最佳,加入過多時會由於試樣的體積膨脹而降低抗水化性能。 
相關文檔
版權說明
【1】 凡本網注明"來源:中國冶金報—中國鋼鐵新聞網"的所有作品,版權均屬於中國鋼鐵新聞網。媒體轉載、摘編本網所刊 作品時,需經書麵授權。轉載時需注明來源於《中國冶金報—中國鋼鐵新聞網》及作者姓名。違反上述聲明者,本網將追究其相關法律責任。
【2】 凡本網注明"來源:XXX(非中國鋼鐵新聞網)"的作品,均轉載自其它媒體,轉載目的在於傳遞更多信息,並不代表本網 讚同其觀點,不構成投資建議。
【3】 如果您對新聞發表評論,請遵守國家相關法律、法規,尊重網上道德,並承擔一切因您的行為而直接或間接引起的法律 責任。
【4】 如因作品內容、版權和其它問題需要同本網聯係的。電話:010—010-64411649
【2】 凡本網注明"來源:XXX(非中國鋼鐵新聞網)"的作品,均轉載自其它媒體,轉載目的在於傳遞更多信息,並不代表本網 讚同其觀點,不構成投資建議。
【3】 如果您對新聞發表評論,請遵守國家相關法律、法規,尊重網上道德,並承擔一切因您的行為而直接或間接引起的法律 責任。
【4】 如因作品內容、版權和其它問題需要同本網聯係的。電話:010—010-64411649
地址:北京市朝陽區安貞裏三區26樓 郵編:100029 電話:(010)64442120/(010)64442123 傳真:(010)64411645 電子郵箱:
中國冶金報/中國鋼鐵新聞網法律顧問:大成律師事務所 楊貴生律師 電話: Email:
中國鋼鐵新聞網版權所有,未經書麵授權禁止使用 京ICP備07016269 京公網安備11010502033228




























