冶金科技獎一等獎 | 基於非鋁脫氧工藝高品質軸承鋼關鍵冶金技術及產業化
2026-04-16 11:57:44
完成人
劉 宇、包燕平、黃永生、顧 超、趙 陽、王 敏、孫光濤、肖 微、陳廷軍、周 苑、莫秉幹、王昆鵬、崔宏豔、徐旋旋、沈 豔
完成單位
中天鋼鐵集團有限公司、北京科技大學
背景與意義
“中國製造2025”先進製造基礎零部件用鋼發展重點:突破先進裝備用高性能軸承、齒輪、工具鋼、彈簧、緊固件等用鋼材料、設計、製造及應用評價係列關鍵技術,高效節能電機、高端發動機、高速鐵路、高端精密機床、高檔汽車等先進裝備用關鍵零部件用關鍵材料國內自給率2020年達到80%,2025年力爭全麵自給,關鍵零部件壽命提高1倍以上。因此高品質軸承鋼疲勞壽命提升、生產與評價是先進裝備用關鍵零部件材料自給率提升的國家重大技術需求。
近(jin)年(nian)來(lai),國(guo)內(nei)軸(zhou)承(cheng)鋼(gang)的(de)質(zhi)量(liang)有(you)了(le)很(hen)大(da)提(ti)升(sheng),部(bu)分(fen)軸(zhou)承(cheng)鋼(gang)質(zhi)量(liang)達(da)到(dao)了(le)國(guo)際(ji)先(xian)進(jin)水(shui)平(ping)。但(dan)是(shi)整(zheng)體(ti)看(kan),提(ti)高(gao)軸(zhou)承(cheng)鋼(gang)質(zhi)量(liang)仍(reng)然(ran)是(shi)提(ti)高(gao)軸(zhou)承(cheng)質(zhi)量(liang)的(de)關(guan)鍵(jian)環(huan)節(jie)。目(mu)前(qian)國(guo)內(nei)外(wai)軸(zhou)承(cheng)鋼(gang)的(de)生(sheng)產(chan)主(zhu)要(yao)采(cai)用(yong)鋁(lv)脫(tuo)氧(yang)工(gong)藝(yi)。從(cong)脫(tuo)氧(yang)機(ji)理(li)和(he)實(shi)際(ji)效(xiao)果(guo)來(lai)看(kan),軸(zhou)承(cheng)鋼(gang)生(sheng)產(chan)中(zhong)在(zai)有(you)效(xiao)去(qu)除(chu)鋼(gang)液(ye)中(zhong)溶(rong)解(jie)氧(yang)[O]的同時,產生了以下問題:
超低氧控製難度大
鋼中Ds夾雜物難於有效控製
鋼液中Ti元素難於控製
鋼液流動性差
鋼中Al2O3及尖晶石類夾雜物嚴重影響軸承鋼的疲勞壽命
針對以上問題,中天鋼鐵集團公司和北京科技大學聯合開發了:非鋁脫氧軸承鋼的工藝,其主要控製思路為:
矽錳預脫氧+擴散脫氧+真空碳終脫氧工藝,由於擴散脫氧與真空碳終脫氧均不產生汙染鋼液的脫氧產物,因此可以有效提高鋼液潔淨度。
非鋁脫氧有效減少鋼液中Ti等影響鋼材性能元素的含量。
優化精煉渣組成,減少鋼中Ds夾雜物含量。
采用非鋁脫氧工藝,大幅度減少了Al2O3夾雜物數量,提高鋼液的流動性,有效減少了大顆粒夾雜數量。
有效控製了鋼中夾雜物尺寸和形態,提高疲勞壽命。
關鍵技術
1.以非鋁組合脫氧(矽錳預脫氧+擴散脫氧+真空脫氧)為特色的軸承鋼低氧控製技術
(1)工藝路線
中天非鋁脫氧軸承鋼工藝流程,如圖1所示。

圖1中天非鋁脫氧軸承鋼生產工藝流程
(2)基於矽錳預脫氧與擴散脫氧的軸承鋼前期控氧技術
基於矽錳預脫氧與擴散脫氧的軸承鋼前期控氧技術,實現LF精煉出站時,鋼中溶解氧約15-20 ppm,全氧含量降至20 ppm左右;LF精煉過程中N含量保持在30 ppm以下。LF過程中使用低堿度渣精煉渣,Al2O3含量僅為3-5%,堿度為0.9-1.5。
(3)基於真空碳氧平衡的軸承鋼深脫氧技術
RH過程中的氧、氮含量變化如圖2所示。經過RH精煉處理後,鋼中的全氧含量明顯下降,鋼中全氧控製在5-9ppm;RH精煉過程中N含量保持在30 ppm以下。

圖2非鋁脫氧工藝RH精煉過程中氧、氮含量變化
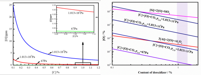
通過熱力學計算及實驗研究,在不同真空度下的鋼液碳氧平衡如圖3所示。在真空度67Pa時,碳成為比鋁更強的脫氧劑。真空爐內軸承鋼脫氧實驗中氧、氮含量變化如圖4所示,全氧含量可脫至10 ppm以下。在工業生產中,RH出站鋼中全氧含量已穩定控製在5-9 ppm。此外,為了控製真空脫氧過程中的噴濺現象,基於數模和水模研究結果提出了步進式壓降模式,有效降低噴濺。
圖3不同真空度下的鋼液碳氧平衡

圖4真空爐內軸承鋼脫氧實驗中氧、氮含量變化
2.非鋁脫氧軸承鋼的夾雜物控製及流動性改善關鍵技術
(1)低堿度CaO-Al2O3-SiO2-MgO四元渣係控製
非鋁脫氧工藝精煉渣成分分別如表1所示,LF精煉渣堿度控製在1左右,SiO2含量為30%左右,此外Al2O3遠低於鋁脫氧工藝。
表1非鋁脫氧工藝造渣工藝下精煉渣成分 / wt%

如圖5所示,非鋁脫氧工藝鋼中鋁含量為1-8 ppm、鈦含量為3-8 ppm、硫含量為44-76 ppm。(2)低堿度CaO-Al2O3-SiO2-MgO四元渣係對鋼液關鍵成分的控製。

圖5鋼中(a)[Al],(b)[Ti]和(c)[S]含量的比較
(3)軸承鋼夾雜物的體係調整
圖6中顯示了兩種脫氧工藝軸承鋼中的主要夾雜物特征,非鋁脫氧軸承鋼中,鋼中最多的氧化物為矽酸鹽,大部分夾雜物尺寸均分布在小於10 μm的範圍內,尖晶石和鈣鋁酸鹽夾雜物的數量密度均小於0.85 個/mm2。在鋁脫氧軸承鋼中,鈣鋁酸鹽、尖晶石和矽酸鹽類夾雜物的數量密度依次為1.92 個/mm2,1.68 個/mm2和1.14 個/mm2,尺寸大於15 μm氧化物數量明顯比非鋁脫氧軸承鋼更多。

圖6鋁脫氧和非鋁脫氧軸承鋼中不同類型氧化物尺寸分布
(4)非鋁脫氧軸承鋼流動性的改善及機理研究
非鋁脫氧工藝對鋼液澆注性有明顯改善,如圖7所示,非鋁脫氧工藝中間包連澆14爐後,液麵曲線平穩。表2為不同工藝下小方坯(160 mm×160 mm)連鑄時中間包的連澆爐數。

圖7連澆14爐後塞棒及液麵曲線
表2不同工藝下連澆爐數對比

(1)建立軸承鋼超聲疲勞評價方法及滾動疲勞驗證3.非鋁脫氧軸承鋼夾雜物誘發疲勞斷裂機理及斷裂行為預測方法
本文中采用超聲疲勞試驗係統進行超高周疲勞試驗,試驗頻率達到20 kHz,大大縮短試驗時間。采用該係統完成了大量超高周疲勞試驗,疲勞壽命結果與滾動疲勞實驗結果相符。
(2)不同夾雜物誘發疲勞斷裂的行為及機理
非鋁脫氧軸承鋼的疲勞性能優於中天鋁脫氧軸承鋼,非鋁脫氧軸承鋼的斷口裂紋源由夾雜物誘發的較少;鋁脫氧軸承鋼的斷口裂紋源均為鈣鋁酸鹽。此外,滾動接觸疲勞試驗(洛軸所出具)結果:非鋁脫氧最好,其次為鋁脫氧。
(3)微觀結構疲勞壽命預測模型的建立
為(wei)了(le)深(shen)入(ru)研(yan)究(jiu)不(bu)同(tong)夾(jia)雜(za)物(wu)對(dui)疲(pi)勞(lao)壽(shou)命(ming)的(de)影(ying)響(xiang),本(ben)研(yan)究(jiu)從(cong)微(wei)觀(guan)結(jie)構(gou)出(chu)發(fa),以(yi)微(wei)觀(guan)結(jie)構(gou)的(de)力(li)學(xue)響(xiang)應(ying)行(xing)為(wei)為(wei)基(ji)礎(chu),建(jian)立(li)微(wei)觀(guan)模(mo)型(xing),通(tong)過(guo)統(tong)計(ji)學(xue)原(yuan)理(li)與(yu)宏(hong)觀(guan)性(xing)能(neng)關(guan)聯(lian),形(xing)成(cheng)多(duo)尺(chi)度(du)服(fu)役(yi)性(xing)能(neng)預(yu)測(ce)模(mo)型(xing),實(shi)現(xian)裂(lie)紋(wen)源(yuan)及(ji)疲(pi)勞(lao)壽(shou)命(ming)的(de)量(liang)化(hua)預(yu)測(ce),並(bing)將(jiang)相(xiang)同(tong)尺(chi)寸(cun)的(de)球(qiu)型(xing)鈣(gai)鋁(lv)酸(suan)鹽(yan)類(lei)夾(jia)雜(za)物(wu)和(he)矽(gui)酸(suan)鹽(yan)類(lei)夾(jia)雜(za)物(wu)引(yin)入(ru)模(mo)型(xing),預(yu)測(ce)結(jie)果(guo)顯(xian)示(shi)在(zai)相(xiang)同(tong)的(de)疲(pi)勞(lao)應(ying)力(li)下(xia)的(de)矽(gui)酸(suan)鹽(yan)引(yin)起(qi)疲(pi)勞(lao)裂(lie)紋(wen)源(yuan)萌(meng)生(sheng)所(suo)需(xu)周(zhou)次(ci)更(geng)長(chang)。
項目特色和主要創新
“矽錳預脫氧+擴散脫氧+真空終脫氧”非鋁組合脫氧:通過真空碳終脫氧將鋼中全氧含量控製在5-9ppm的同時,有效控製了鋼中Ti等元素,同時可以有效控製夾雜物類型;
非鋁脫氧軸承鋼的夾雜物控製及流動性改善技術:采用低堿度CaO-Al2O3-SiO2-MgO四元渣係精煉渣,將夾雜物成分控製於低熔點區,鋼中Ds夾雜物得到有效控製,解決了小方坯軸承鋼水口可澆性差的技術難題;
非鋁脫氧軸承鋼夾雜物誘發疲勞斷裂機理及斷裂行為預測方法:借jie助zhu超chao聲sheng疲pi勞lao的de測ce試shi方fang法fa與yu滾gun動dong疲pi勞lao檢jian測ce相xiang結jie合he,對dui軸zhou承cheng鋼gang的de拉la壓ya疲pi勞lao壽shou命ming和he斷duan裂lie機ji理li進jin行xing了le研yan究jiu,建jian立li不bu同tong夾jia雜za物wu對dui疲pi勞lao性xing能neng影ying響xiang的de微wei觀guan結jie構gou量liang化hua模mo型xing,基ji於yu該gai模mo型xing分fen析xi了le軸zhou承cheng鋼gang中zhong主zhu要yao夾jia雜za物wu對dui疲pi勞lao性xing能neng的de影ying響xiang。
實現了以真空終脫氧為特色的高品質鋼生產的技術集成與工藝創新:一方麵可以根據產品的最終用途,控製鋼中夾雜物的種類;另一方麵通過“真空終脫氧”,從源頭上消除了夾雜物的主要來源-脫(tuo)氧(yang)產(chan)物(wu),從(cong)工(gong)藝(yi)上(shang)非(fei)常(chang)有(you)利(li)於(yu)潔(jie)淨(jing)鋼(gang)的(de)生(sheng)產(chan),為(wei)高(gao)品(pin)質(zhi)鋼(gang)的(de)生(sheng)產(chan)提(ti)供(gong)了(le)一(yi)條(tiao)新(xin)的(de)途(tu)徑(jing),在(zai)眾(zhong)多(duo)高(gao)品(pin)質(zhi)鋼(gang)生(sheng)產(chan)中(zhong)具(ju)有(you)很(hen)好(hao)的(de)推(tui)廣(guang)應(ying)用(yong)前(qian)景(jing)!
主要技術指標
本項目主要技術指標如表3所示。
表3主要技術指標

查新報告與知識產權
教育部科技發展中心針對本項目的四個技術創新點的查新報告結果如下:在(zai)國(guo)內(nei)外(wai)已(yi)公(gong)開(kai)發(fa)表(biao)的(de)文(wen)獻(xian)和(he)專(zhuan)利(li)中(zhong),除(chu)本(ben)查(zha)新(xin)項(xiang)目(mu)委(wei)托(tuo)單(dan)位(wei)公(gong)開(kai)的(de)專(zhuan)利(li)和(he)本(ben)查(zha)新(xin)項(xiang)目(mu)組(zu)負(fu)責(ze)人(ren)及(ji)成(cheng)員(yuan)發(fa)表(biao)的(de)文(wen)獻(xian)外(wai),未(wei)見(jian)有(you)基(ji)於(yu)上(shang)述(shu)四(si)個(ge)創(chuang)新(xin)技(ji)術(shu)。創(chuang)新(xin)點(dian)如(ru)下(xia):
“矽錳預脫氧+擴散脫氧+真空脫氧”非鋁組合脫氧軸承鋼低氧控製技術
非鋁脫氧軸承鋼的夾雜物控製及流動性改善技術
非鋁脫氧軸承鋼夾雜物誘發疲勞斷裂機理及斷裂行為預測方法
集成以上技術,實現了軸承鋼小方坯連鑄-高速線材一火成材技術集成,顯著降低了工序能耗和生產成本。
本項目相關成果發表文章22篇,其中英文13篇,全部是SCI,中文9篇;授權專利13項,其中發明專利13項。
經濟效益
中天非鋁脫氧軸承鋼(GCr15)工藝於2016年底開始研發,並於2017年正式應用生產,2017年~2022年總計生產鋼產量約29萬噸,新增產值142481.03萬元,新增利稅44509.71萬元,增收(節支)總額1460.55萬元。生產的軸承鋼球、軸承套圈、滾子、水泵軸等滾動體軸承,廣泛應用於福特、吉利、哈弗、大通、東風等品牌。
來源:中國鋼鐵工業協會
編輯:張雨恬
相關文檔
版權說明
【1】 凡本網注明"來源:中國冶金報—中國鋼鐵新聞網"的所有作品,版權均屬於中國鋼鐵新聞網。媒體轉載、摘編本網所刊 作品時,需經書麵授權。轉載時需注明來源於《中國冶金報—中國鋼鐵新聞網》及作者姓名。違反上述聲明者,本網將追究其相關法律責任。
【2】 凡本網注明"來源:XXX(非中國鋼鐵新聞網)"的作品,均轉載自其它媒體,轉載目的在於傳遞更多信息,並不代表本網 讚同其觀點,不構成投資建議。
【3】 如果您對新聞發表評論,請遵守國家相關法律、法規,尊重網上道德,並承擔一切因您的行為而直接或間接引起的法律 責任。
【4】 如因作品內容、版權和其它問題需要同本網聯係的。電話:010—010-64411649
【2】 凡本網注明"來源:XXX(非中國鋼鐵新聞網)"的作品,均轉載自其它媒體,轉載目的在於傳遞更多信息,並不代表本網 讚同其觀點,不構成投資建議。
【3】 如果您對新聞發表評論,請遵守國家相關法律、法規,尊重網上道德,並承擔一切因您的行為而直接或間接引起的法律 責任。
【4】 如因作品內容、版權和其它問題需要同本網聯係的。電話:010—010-64411649
地址:北京市朝陽區安貞裏三區26樓 郵編:100029 電話:(010)64442120/(010)64442123 傳真:(010)64411645 電子郵箱:
中國冶金報/中國鋼鐵新聞網法律顧問:大成律師事務所 楊貴生律師 電話: Email:
中國鋼鐵新聞網版權所有,未經書麵授權禁止使用 京ICP備07016269號 京公網安備11010502033228




























